Atmospheric Extinction#

Introduction#

The Earth’s atmosphere is highly chromatic in its transmission of light. The wavelength-dependence is dominated by scattering in the optical (320-700 nm) and molecular features in the near-infrared and infrared.

Supported Optical Extinction Models#

specreduce offers support for average optical extinction models for a set of observatories:

Model Name

Observatory

Lat

Lon

Elevation (m)

Ref

ctio

Cerro Tololo Int’l Observatory

-30.165

70.815

2215

1

kpno

Kitt Peak Nat’l Observatory

31.963

111.6

2120

2

lapalma

Roque de Los Muchachos Observatory

28.764

17.895

2396

3

mko

Mauna Kea Int’l Observatory

19.828

155.48

4160

4

mtham

Lick Observatory, Mt. Hamilton Station

37.341

121.643

1290

5

paranal

European Southern Obs., Paranal Station

-24.627

70.405

2635

6

apo

Apache Point Observatory

32.780

105.82

2788

7

1. The CTIO extinction curve was originally distributed with IRAF and comes from the work of Stone & Baldwin (1983 MN 204, 347) plus Baldwin & Stone (1984 MN 206, 241). The first of these papers lists the points from 3200-8370A while the second extended the flux calibration from 6056 to 10870A but the derived extinction curve was not given in the paper. The IRAF table follows SB83 out to 6436, the redder points presumably come from BS84 with averages used in the overlap region. More recent CTIO extinction curves are shown as Figures in Hamuy et al (92, PASP 104, 533 ; 94 PASP 106, 566).

2. The KPNO extinction table was originally distributed with IRAF. The ultimate provenance of this data is unclear, but it has been used as-is in this form for over 30 years.

3. Extinction table for Roque de Los Muchachos Observatory, La Palma. Described in https://www.ing.iac.es/Astronomy/observing/manuals/ps/tech_notes/tn031.pdf.

4. Median atmospheric extinction data for Mauna Kea Observatory measured by the Nearby SuperNova Factory: https://www.aanda.org/articles/aa/pdf/2013/01/aa19834-12.pdf.

5. Extinction table for Lick Observatory on Mt. Hamilton constructed from https://mthamilton.ucolick.org/techdocs/standards/lick_mean_extinct.html.

6. Updated extinction table for ESO-Paranal taken from https://www.aanda.org/articles/aa/pdf/2011/03/aa15537-10.pdf.

7. Extinction table for Apache Point Observatory. Based on the extinction table used for SDSS and available at https://www.apo.nmsu.edu/arc35m/Instruments/DIS/ (https://www.apo.nmsu.edu/arc35m/Instruments/DIS/images/apoextinct.dat).

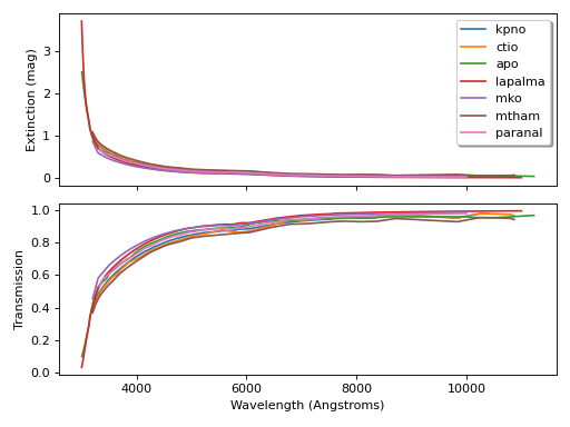
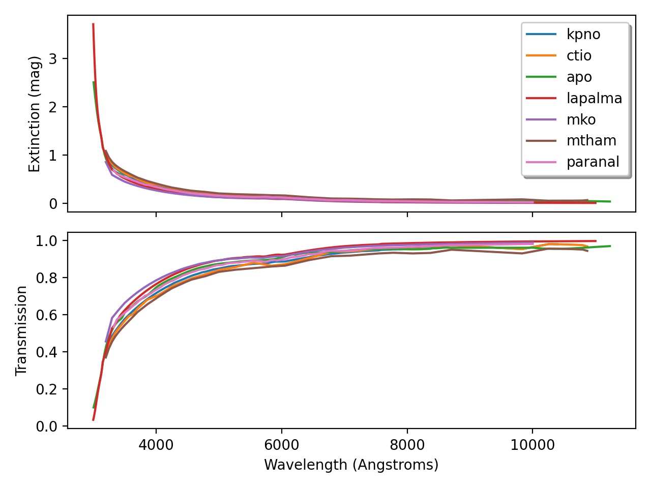
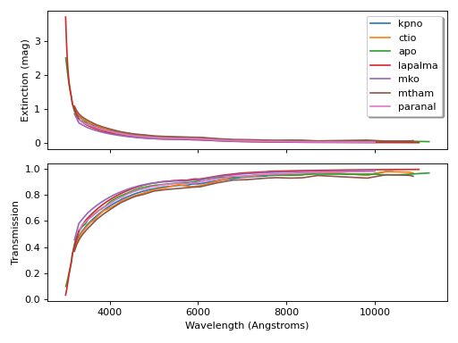
In each case, the extinction is given in magnitudes per airmass and the wavelengths are in Angstroms. Here is an example that uses the AtmosphericExtinction class to load each model and plots the extinction in magnitudes as well as fractional transmission as a function of wavelength:

import matplotlib.pyplot as plt
from specreduce.calibration_data import AtmosphericExtinction, SUPPORTED_EXTINCTION_MODELS

fig, ax = plt.subplots(2, 1, sharex=True)
for model in SUPPORTED_EXTINCTION_MODELS:
    ext = AtmosphericExtinction(model=model)
    ax[0].plot(ext.spectral_axis, ext.extinction_mag, label=model)
    ax[1].plot(ext.spectral_axis, ext.transmission)
ax[0].legend(fancybox=True, shadow=True)
ax[1].set_xlabel("Wavelength (Angstroms)")
ax[0].set_ylabel("Extinction (mag)")
ax[1].set_ylabel("Transmission")
plt.tight_layout()
fig.show()

(Source code, png, hires.png, pdf)

_images/extinction-1.png

A convenience class, AtmosphericTransmission, is provided for loading data files containing atmospheric transmission versus wavelength. The common use case for this would be loading the output of telluric models. By default it loads a telluric model for an airmass of 1 and 1 mm of precipitable water. Some resources for generating more realistic model atmospheric transmission spectra include https://mwvgroup.github.io/pwv_kpno/1.0.0/documentation/html/index.html and http://www.eso.org/sci/software/pipelines/skytools/molecfit.

import matplotlib.pyplot as plt
from specreduce.calibration_data import AtmosphericTransmission, SUPPORTED_EXTINCTION_MODELS

fig, ax = plt.subplots()
ext_default = AtmosphericTransmission()
ext_custom = AtmosphericTransmission(data_file="atm_transmission_secz1.5_1.6mm.dat")
ax.plot(ext_default.spectral_axis, ext_default.transmission, label=r"sec $z$ = 1; 1 mm H$_{2}$O", linewidth=1)
ax.plot(ext_custom.spectral_axis, ext_custom.transmission, label=r"sec $z$ = 1.5; 1.6 mm H$_{2}$O", linewidth=1)
ax.legend(loc="upper center", bbox_to_anchor=(0.5, 1.12), ncol=2, fancybox=True, shadow=True)
ax.set_xlabel("Wavelength (microns)")
ax.set_ylabel("Transmission")
fig.show()

(Source code, png, hires.png, pdf)

_images/extinction-2.png